Along the Almaty - Taraz highway, there are n villages, numbered from
1 to n. With the arrival of winter, m unknown traders brought knitted
hats from a certain aul and began selling them in these villages.
The traders follow two principles:
·
They do not sell in the same place for more than one day.
·
Each day, they increase the price of a hat.
More formally, each i-th trader:
·
Starts selling in village li with an initial price of xi per hat.
·
Moves to a neighboring village each day: if they sold in village j yesterday, they
sell in village j + 1 today.
·
Increases the price by 1 each day: if the price was x
yesterday, today it is x + 1.
·
Finishes selling in village ri (including selling in ri on the last day).
For each village, determine the maximum price of a single hat throughout
the entire trading history.
Input. The first line contains two integers n (1 ≤ n
≤ 3 * 105) and m (1 ≤ m ≤ 3 * 105) – the number of villages and
the number of traders, respectively.
The next m lines each contain three integers: li, ri
(1 ≤ li ≤ ri ≤ n) and xi (1 ≤ xi ≤ 109) – the starting and ending villages, as
well as the initial price of a hat for the i-th trader.
Output. Print n integers,
where the i-th number represents the maximum price of a hat throughout
the entire trading history in the i-th village. If no trade took place
in a particular village, print 0.
|
Sample
inpuut |
Sample
output |
|
5 2 1 3 2 2 4 6 |
2 6 7 8 0 |
data
structures – segment tree
Construct a segment tree
over the range [1; n] and initially set all
values to zero. Suppose a trader sold hats in villages [li; ri], starting with a price of pi. Divide the segment [li; ri] into fundamental segments [lx1;
ry1], [lx2; ry2], …, [lxk;
ryk]. Then, for the node
corresponding to the segment [lxq;
ryq] (1 ≤ q ≤ k), store the value
pi + the sum of the lengths of
the segments [lxt;
ryt], for all t < q.
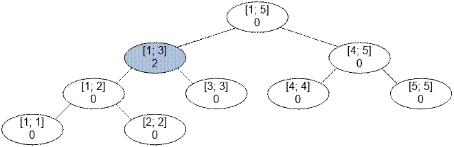
For example, let n =
5, and the first trade covers the cities numbered from 2 to 5, starting with a
price of 4. Then, the segment [2; 5] will be split into fundamental segments: [2; 2], [3; 3],
[4; 5]. After
processing the first operation, the segment tree will look as follows:

If the
fundamental segment [a; b] contains the value p, it means
that:
·
The trader sold hats in all cities from a to b.
·
In city a, the hat was sold for the price p,
in city a + 1 for the price p + 1, and so on, up to city b, where the price was p + b – a.
Consider the procedure for
processing the query [left; right] (the segment where the trader is trading) over the range [lpos; rpos], if the initial price of
the hat is x.

In the left subsegment,
the merchant will sell hats in len = min(mid, right) – left + 1 cities, starting at the
price x. In the right subsegment, the first price of the hat in the city
where the merchant arrives will be x + len. Thus, in the segment with indices [max(left, mid + 1), right], the trade will start at
the price x + len. However, if len < 0 (which is possible if the entire query segment lies within
the right subsegment), set len = 0.
Consider the segment [a; b], which has two
subsegments: [a; m] and [m + 1; b]. If the trader sold a hat
for price p in city a, then in city m + 1, the price will
be p + m
+ 1 – a.
During the query
processing, implement value propagation that maintains the maximum.

To print the answer,
traverse the tree, propagate all values to the leaves, and then print them.
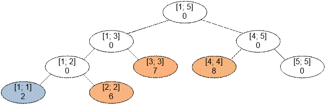
Example
Consider the execution of
the two queries given in the example. Split the query segments into fundamental
segments:
·
[1; 3] = [1; 3];

·
[2; 4] = [2; 2] + [3; 3] + [4; 4].

Algorithm implementation
Declare an array SegTree to store the segment tree.
#define MAX 300010
long long
SegTree[4*MAX];
The Push function propagates the value from node v to
its children.
void Push(int v, int lpos, int mid, int rpos)
{
if (SegTree[v])
{
SegTree[2 * v] = max(SegTree[2 * v], SegTree[v]);
SegTree[2 * v + 1] = max(SegTree[2 * v + 1],
SegTree[v] + mid - lpos + 1);
SegTree[v] = 0;
}
}
The Update function performs the sale of hats over the
segment [left; right], starting with the price x.
void Update(int v, int lpos, int rpos, int left, int right,
long long x)
{
if (left > right) return;
if ((lpos == left) && (rpos == right))
SegTree[v] = max(SegTree[v], x);
else
{
int mid = (lpos + rpos) / 2;
Push(v, lpos, mid, rpos);
int len = min(mid, right) - left + 1;
if (len < 0) len = 0;
Update(2 * v, lpos, mid, left, min(mid, right), x);
Update(2 * v + 1, mid + 1, rpos, max(left, mid + 1),
right, x + len);
}
}
The PrintResult function propagates the
values from internal nodes to the leaves and prints the final state of the
array.
void PrintResult(int v, int lpos, int rpos)
{
if (lpos == rpos)
printf("%lld ", SegTree[v]);
else
{
int mid = (lpos + rpos) / 2;
Push(v, lpos, mid, rpos);
PrintResult(2 * v, lpos, mid);
PrintResult(2 * v + 1, mid + 1, rpos);
}
}
The main part of the program. Read the input data.
scanf("%d %d", &n, &m);
memset(SegTree,0,sizeof(SegTree));
Process m queries.
for(i = 0; i < m; i++)
{
scanf("%d %d
%lld", &l, &r, &x);
Update(1,1,n,l,r,x);
}
Print the result.
PrintResult(1,1,n);
printf("\n");